Jadual Caruman Perkeso Pekerja Asing



Rujukan pada jadual 1 akta keselamatan sosial pekerja 1969 akta 4 menunjukkan bahawa pekerja asing tidak tersenarai dalam golongan yang dikecualikan dari caruman.

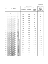
Jadual caruman perkeso pekerja asing. Majikan dikehendaki membayar caruman kwsp berdasarkan jadual ini. Kadar caruman bulanan yang dinyatakan ini hendaklah terpakai bagi pekerja yang berikut sehingga pekerja itu mencapai umur enam puluh tahun. Perkeso untuk pekerja asing.

Sedia maklum sistem insurans pekerjaan sip mula dilaksanakan pada januari 2018 sebagai satu jaringan keselamatan sosial yang bertujuan membantu golongan pekerja yang kehilangan pekerjaan untuk mendapatkan bantuan kewangan dan mencari pekerjaan baru. Untuk pekerja yang berumur kurang daripada 60 tahun caruman kena dibayar oleh majikan dan pekerja adalah untuk skim bencana pekerjaan dan skim keilatan kadar caruman di bawah jenis ini adalah terdiri daripada 1 75 syer majikan dan 0 5 syer pekerja berdasarkan gaji bulanan pekerja itu mengikut kadar jadual caruman yang telah ditetapkan. Contribution table rates jadual caruman socso a company is required to contribute socso for its staff workers according to the socso contribution table rates as determined by the act.

Berikut dikongsikan cara pengiraan kadar caruman kwsp atau epf dan kadar caruman perkeso socso yang terkini bagi tahun 2019. Kadar caruman bulanan jadual ketiga kadar caruman bagi majikan dan pekerja terkini yang berkuat kuasa mulai gaji upah januari 2019 boleh dirujuk di dalam jadual ketiga akta kwsp 1991. Untuk makluman anda semakan jadual caruman sip perkeso 2020 boleh dibuat secara online menerusi laman portal rasmi perkeso.

Untuk makluman semua kadar caruman syer pekerja kwsp kini kembali ke asal iaitu 11 berkuatkuasa bulan januari ini. The company will pay 1 75 while the staff workers will contribute 0 5 of their wages for the employment injury insurance scheme and the invalidity pension scheme. Kementerian sumber manusia akan mewajibkan pihak majikan membuat caruman pertubuhan keselamatan sosial perkeso untuk 1 8 juta pekerja asing mereka bermula 1 jan 2019.